
近日,抖阴
杨冰香教授联合深圳职业技术大学、香港大学深圳医院、北京大学深圳医院、深圳市第二人民医院等多家临床一线单位,在微生物学领域权威期刊《Gut Microbes》(SCI和中国科学院双一区Top期刊,IF:11)发表了题为《The triad of maternal gut-breast milk-infant gut microbial transmission in early life as a critical pathway for microbial inheritance》的研究论文。深圳职业技术大学杜艳丽、谢瑞霞,香港大学深圳医院程璟为共同第一作者,抖阴
杨冰香教授、北京大学深圳医院韩宗利、深圳市第二人民医院王湘雨为共同通讯作者。
该研究首次系统揭示了“母体肠道一母乳一婴儿肠道”这一微生物传递路径在生命早期肠道菌群建立的关键作用,为“菌脉相承”机制提供了直接科学证据,其成果对于优化母婴护理实践、提升婴幼儿健康管理水平具有重要的应用指导意义,充分体现了“产学研用”一体化的特色优势。
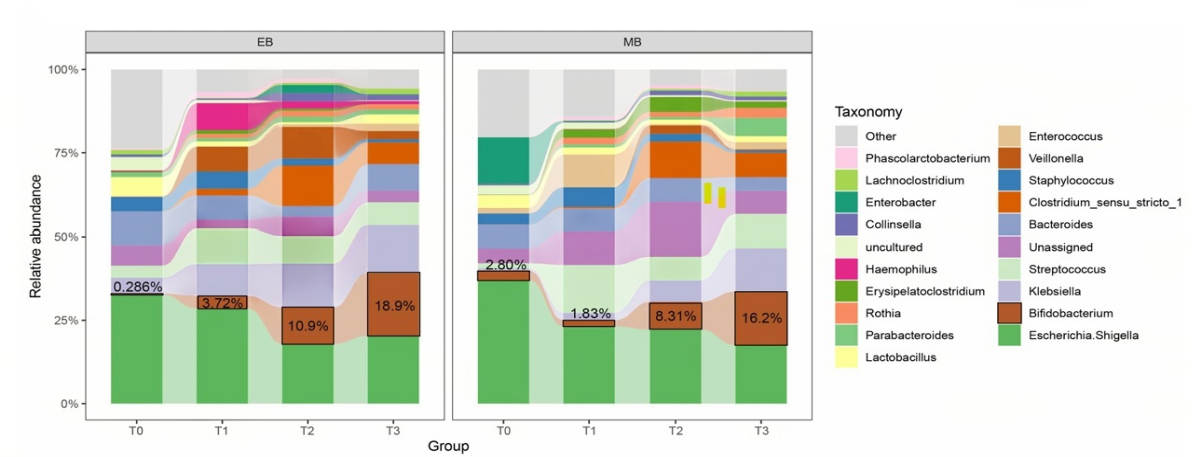
该研究紧密围绕临床护理实际需求,采用纵向追踪与多部位微生物采样的实用策略,运用16SrRNA测序这一先进且适用于临床转化的技术,系统分析了30对母婴从出生到满月期间的菌群动态变化。研究结果显示,母乳菌群主要来源于母体肠道,且在母婴分离组中,高达67.9%的母乳微生物可追溯至母体肠道。这一发现直接关联到临床母婴护理中的喂养指导和母婴接触建议。研究进一步发现,双歧杆菌(Bifidobacterium)是母婴垂直传递的关键菌属,其在纯母乳喂养婴儿肠道中的增长更为显著,这不仅印证了母乳喂养对婴儿肠道菌群建立的促进作用,更为职业教育本科院校在母婴护理专业课程中融入循证实践内容提供了鲜活案例。该研究不仅为“肠—乳轴”假说提供了有力证据,还揭示了喂养方式对母乳菌群的调控作用,提出了“母体肠道(内源)—婴儿吸吮(外源)—乳腺—母乳”的双向调控模型。这一创新性模型源于临床观察与实践总结,对理解生命早期微生物定植规律、指导婴幼儿营养与健康干预策略具有重要的科学价值和直接的应用前景。
此次在《Gut Microbes》发表高水平论文,标志着研究团队在护理交叉应用研究领域取得了重要突破。后续将进一步联合顶尖生命科学研究团队,聚焦代际影响开展深入合作。